scRNA+scATAC HSPC_Multiome_p10
This page displays metrics for the following dataset:
Name
HSPC Multiome p10
Description
Human hematopoietic stem and progenitor cells
Type
RNA + ATAC
Cells
10,588
Batches
4 donors of 5 time points
Labels
7
0.1
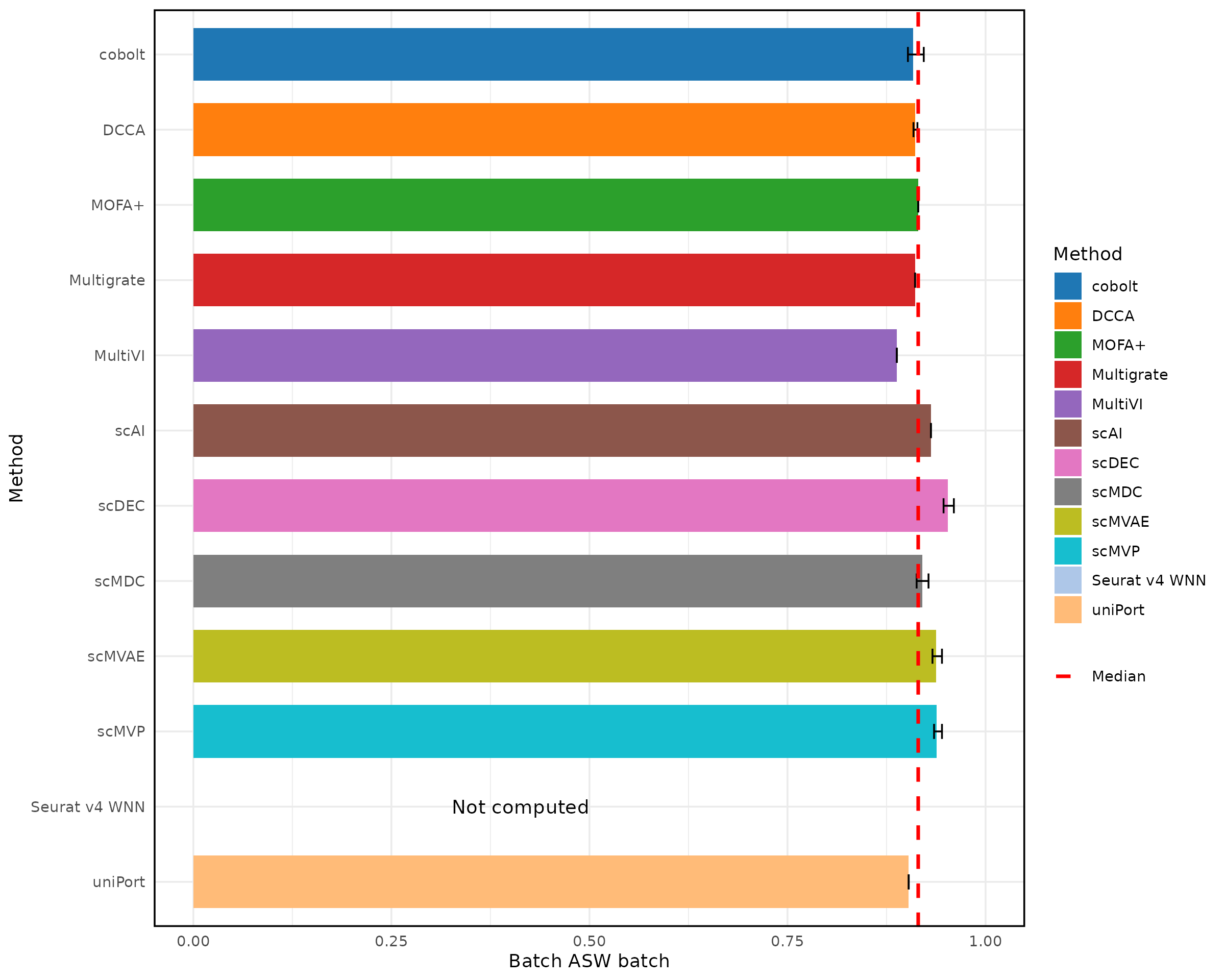
Batch effect removal
Batch ASW batch
Graph iLISI