This page displays metrics for the following dataset:
|
|
| Name |
BMMC Multiome p10 |
| Description |
Human bone marrow mononuclear cells |
| Type |
RNA + ATAC |
| Cells |
6,924 |
| Batches |
12 donors from 4 sites |
| Labels |
22 |
Batch
effect removal
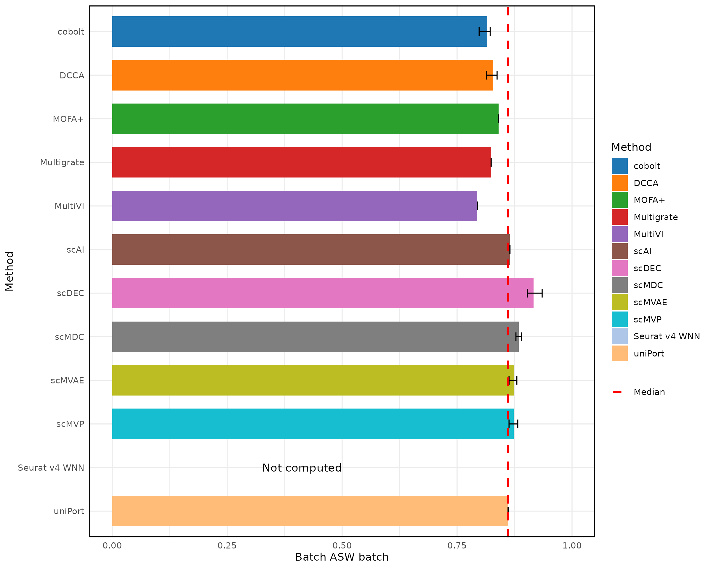
Batch ASW batch

Batch ASW site

Graph connectivity

Graph connectivity level 1

Graph iLISI

Biological conservation
ARI

ARI level 1

AMI

AMI level 1

Graph cLISI

Graph cLISI level 1

Isolated labels ASW

Isolated labels ASW level 1

Imputation accuracy
K-NN smoothed scRNA correlation (cell type)
-1.png)
K-NN smoothed scRNA correlation (cell)
-1.png)
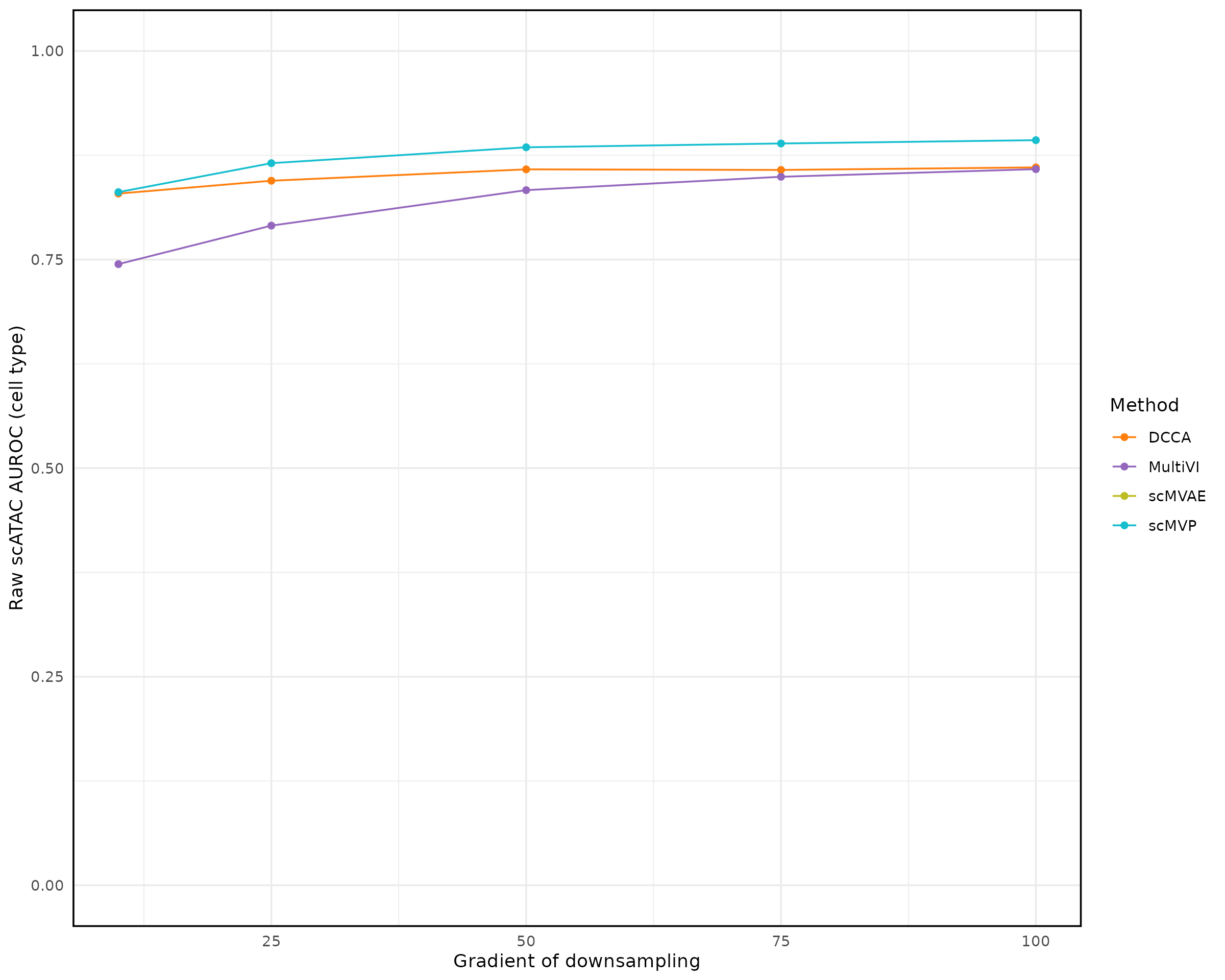
Raw scATAC AUROC (cell type)
-1.png)
Raw scATAC AUPR (cell)
-1.png)
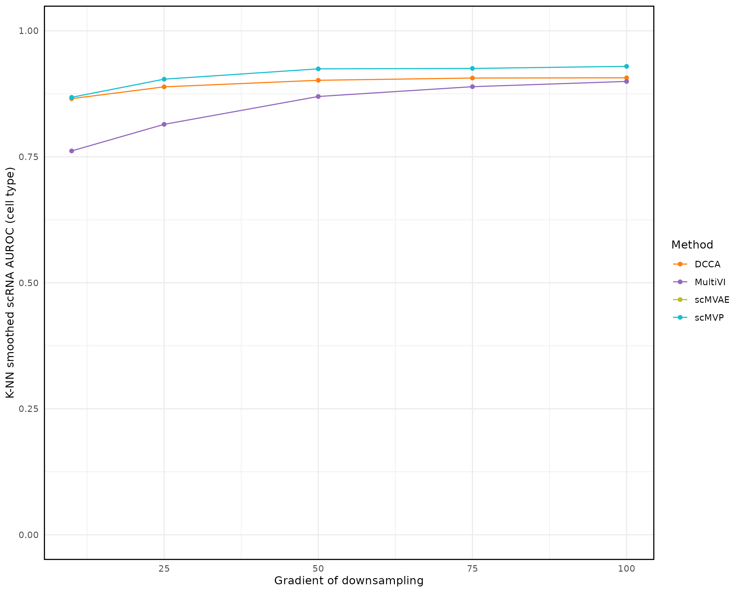
K-NN smoothed scRNA AUROC (cell type)
-1.png)
K-NN smoothed scATAC AUPR (cell)
-1.png)